Официальное опубликование правовых актов
ОФИЦИАЛЬНОЕ ОПУБЛИКОВАНИЕ
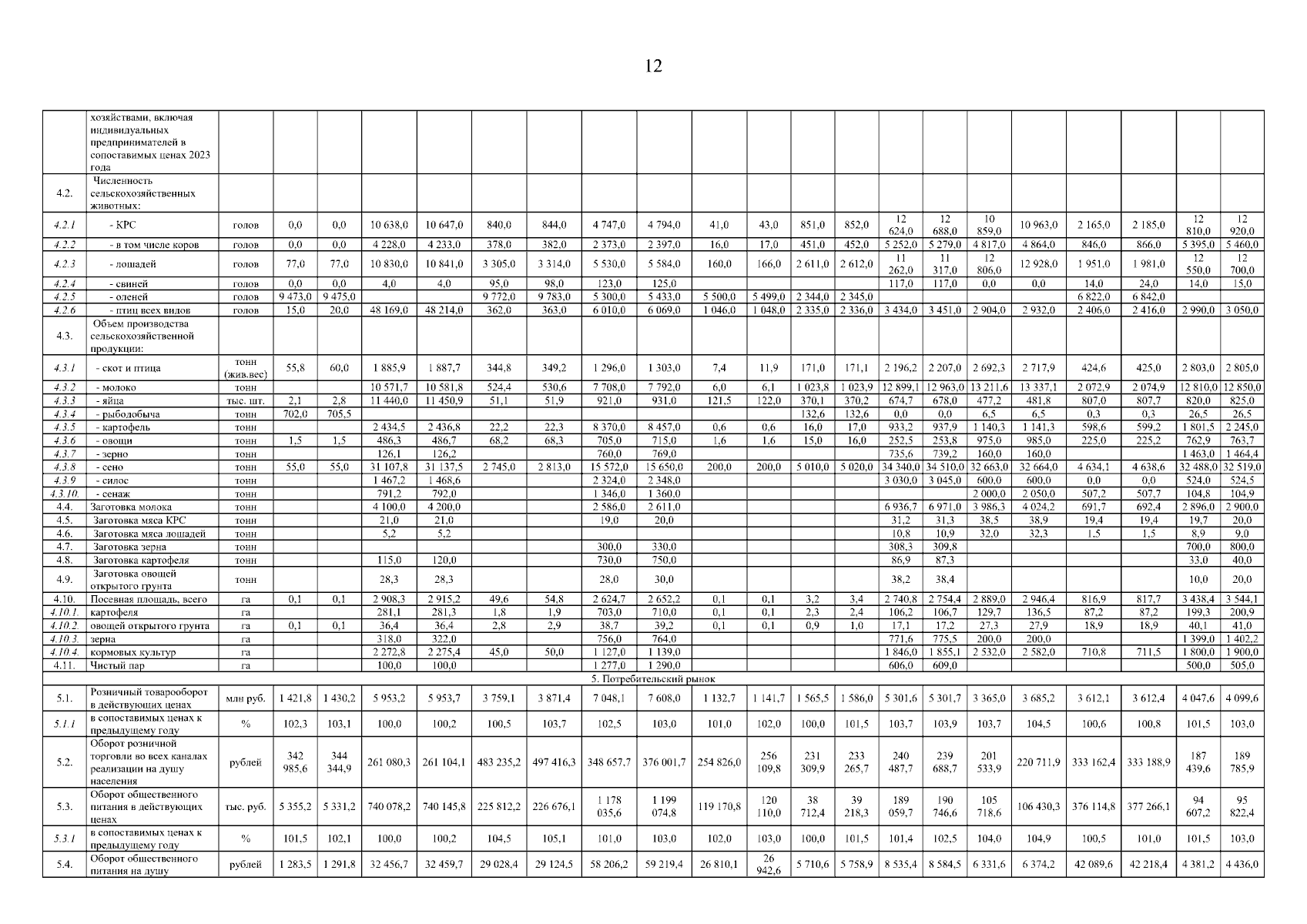
Постановление Правительства Республики Саха (Якутия) от 11.11.2025 № 464
"О внесении изменений в прогноз социально-экономического развития Республики Саха (Якутия) на 2026 – 2028 годы, одобренный постановлением Правительства Республики Саха (Якутия) от 2 сентября 2025 г. № 357"
Номер опубликования: 1400202511130002
Дата опубликования: 13.11.2025
Страница №45 из 79:
Увеличить