Официальное опубликование правовых актов
ОФИЦИАЛЬНОЕ ОПУБЛИКОВАНИЕ
Постановление Правительства Республики Саха (Якутия) от 19.02.2025 № 54
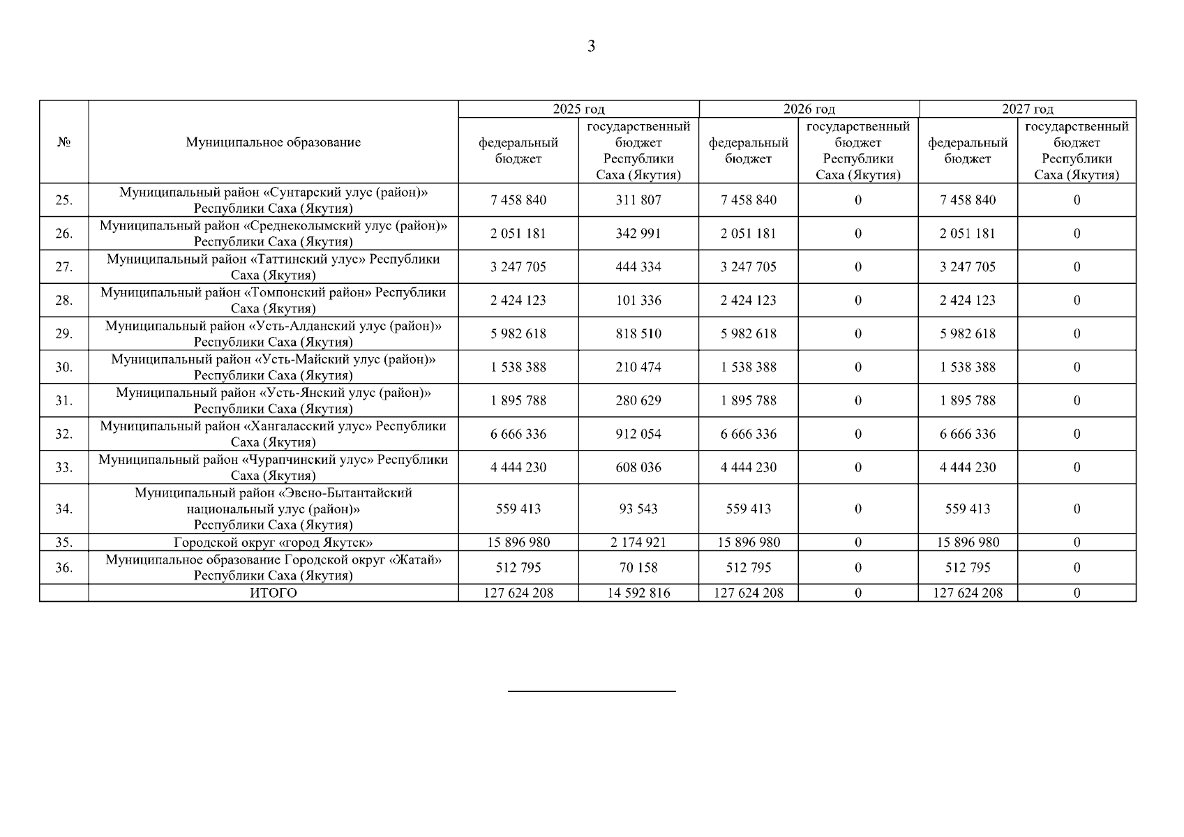
"О распределении иных межбюджетных трансфертов из государственного бюджета Республики Саха (Якутия) местным бюджетам на финансовое обеспечение выплат ежемесячного денежного вознаграждения советникам директоров по воспитанию и взаимодействию с детскими общественными объединениями государственных общеобразовательных организаций и профессиональных образовательных организаций Республики Саха (Якутия), муниципальных общеобразовательных организаций на 2025 год и на плановый период 2026 и 2027 годов"
Номер опубликования: 1400202502210004
Дата опубликования: 21.02.2025
Страница №5 из 5:
Увеличить