Официальное опубликование правовых актов
ОФИЦИАЛЬНОЕ ОПУБЛИКОВАНИЕ
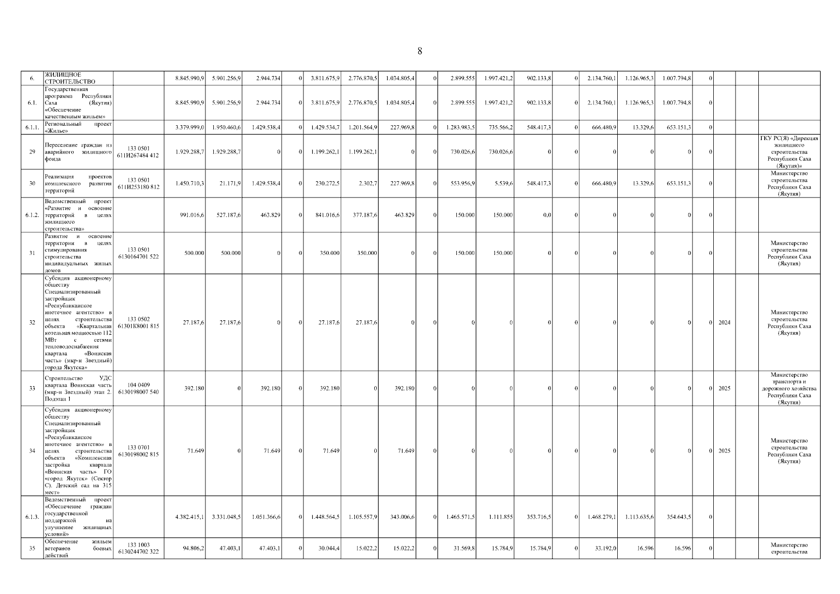
Постановление Правительства Республики Саха (Якутия) от 29.01.2025 № 24
"Об утверждении Инвестиционной программы Республики Саха (Якутия) на 2025 год и на плановый период 2026 и 2027 годов"
Номер опубликования: 1400202502030002
Дата опубликования: 03.02.2025
Страница №9 из 19:
Увеличить