Официальное опубликование правовых актов
ОФИЦИАЛЬНОЕ ОПУБЛИКОВАНИЕ
Постановление Правительства Республики Саха (Якутия) от 27.12.2024 № 673
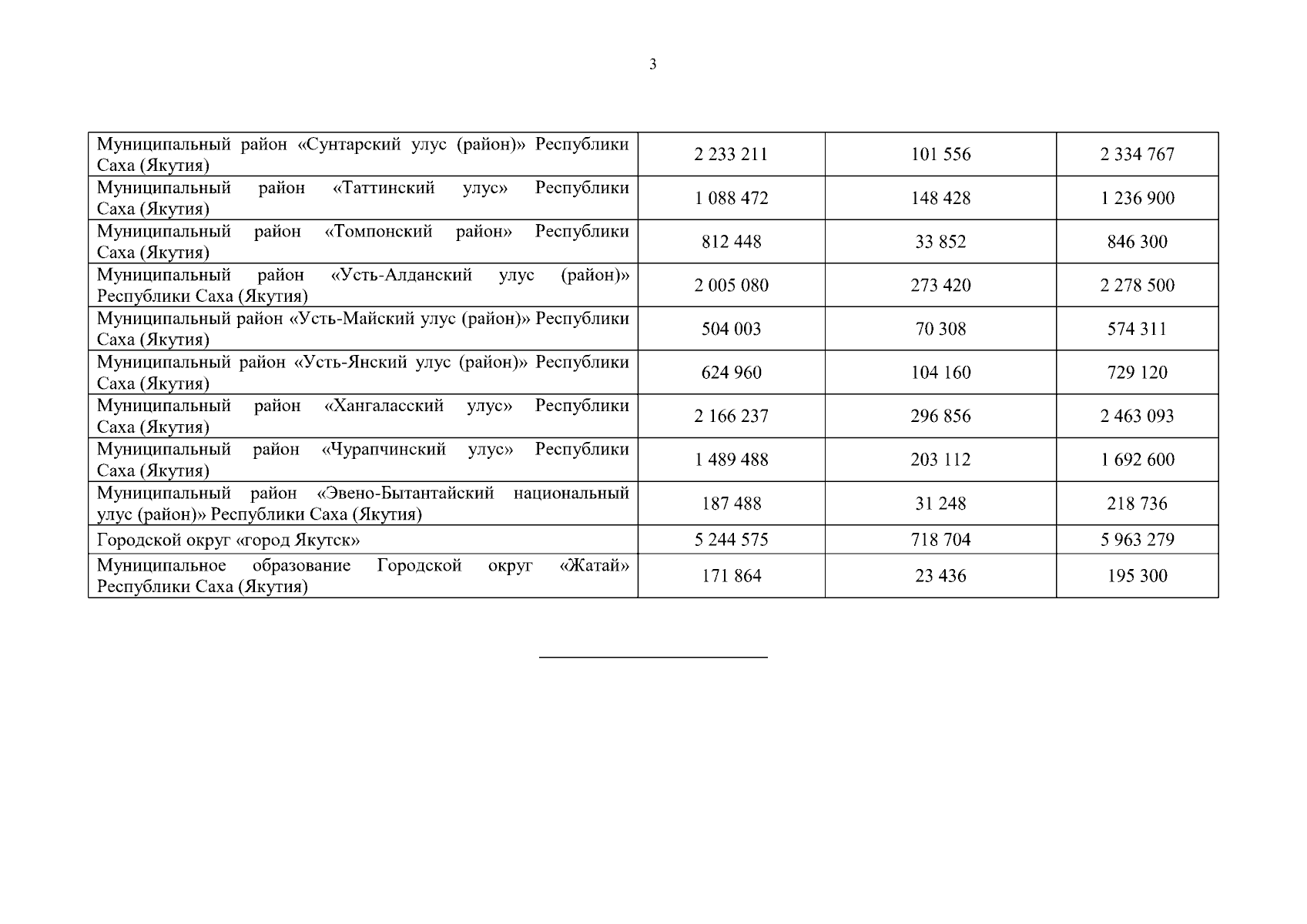
"О распределении иных межбюджетных трансфертов из государственного бюджета Республики Саха (Якутия) местным бюджетам на финансовое обеспечение выплат ежемесячного денежного вознаграждения советникам директоров по воспитанию и взаимодействию с детскими общественными объединениями государственных общеобразовательных организаций и профессиональных образовательных организаций Республики Саха (Якутия), муниципальных общеобразовательных организаций в 2024 году"
Номер опубликования: 1400202501040010
Дата опубликования: 04.01.2025
Страница №5 из 5:
Увеличить