Официальное опубликование правовых актов
ОФИЦИАЛЬНОЕ ОПУБЛИКОВАНИЕ
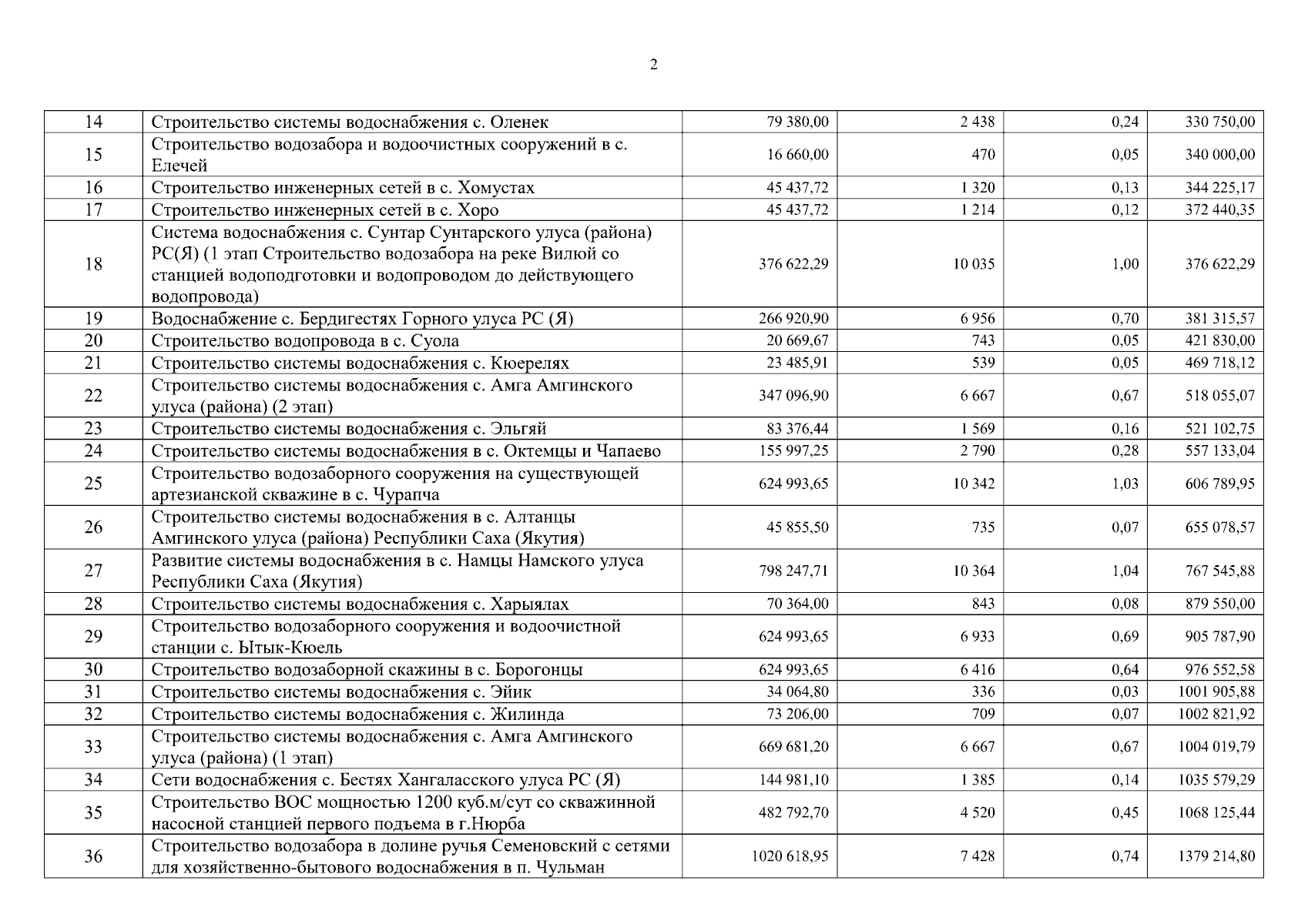
Постановление Правительства Республики Саха (Якутия) от 25.12.2024 № 667
"О внесении изменений в региональную программу Республики Саха (Якутия) "Чистая вода" на 2019 – 2024 годы, утвержденную постановлением Правительства Республики Саха (Якутия) от 31 июля 2019 г. № 211"
Номер опубликования: 1400202412280016
Дата опубликования: 28.12.2024
Страница №96 из 99:
Увеличить