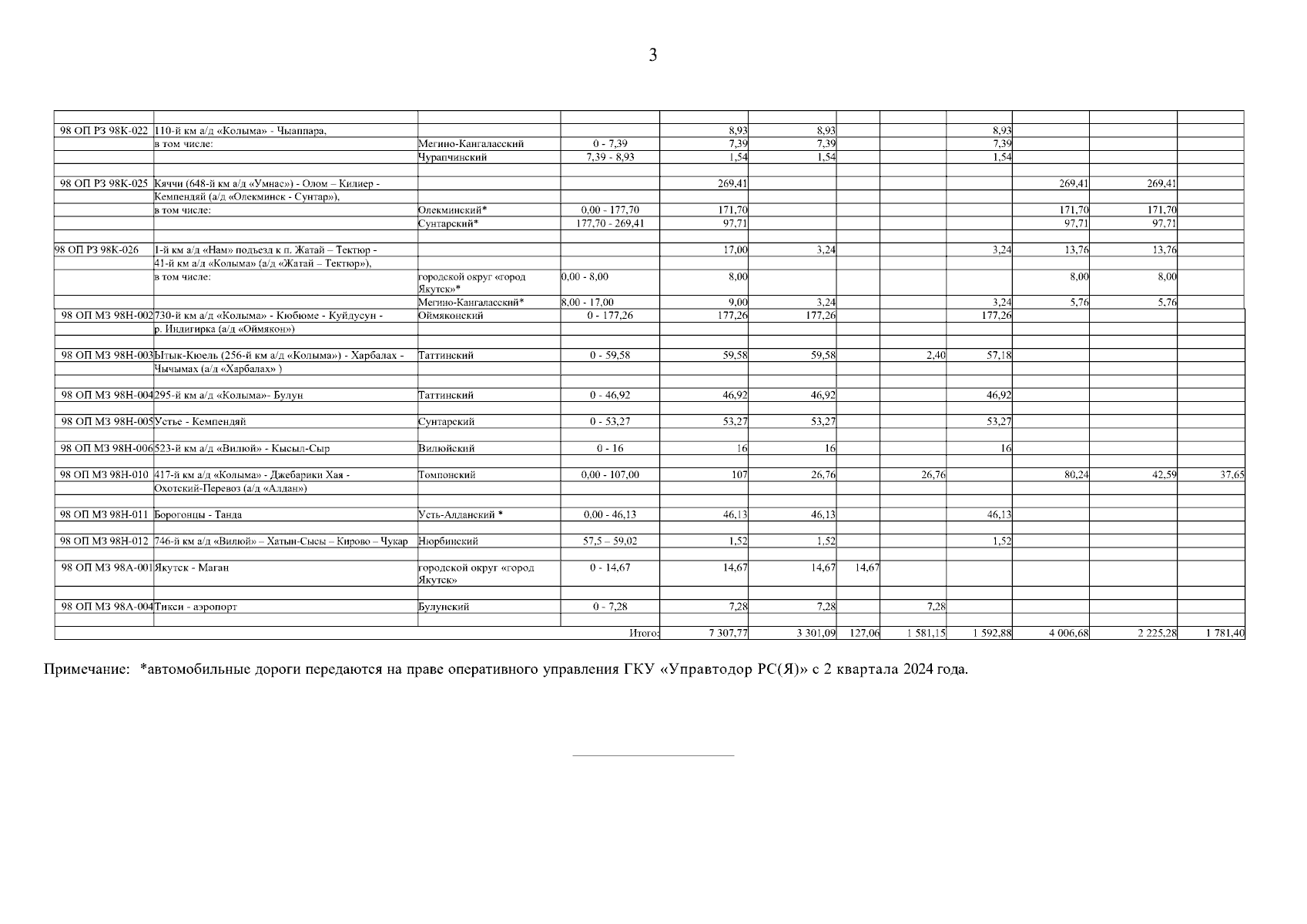
Постановление Правительства Республики Саха (Якутия) от 17.05.2024 № 191
"О внесении изменений в постановление Правительства Республики Саха (Якутия) от 27 марта 2010 г. № 146 "Об утверждении Перечня автомобильных дорог общего пользования регионального или межмуниципального значения Республики Саха (Якутия)"
"О внесении изменений в постановление Правительства Республики Саха (Якутия) от 27 марта 2010 г. № 146 "Об утверждении Перечня автомобильных дорог общего пользования регионального или межмуниципального значения Республики Саха (Якутия)"
Номер опубликования: 1400202405200002
Дата опубликования:
20.05.2024
