Официальное опубликование правовых актов
ОФИЦИАЛЬНОЕ ОПУБЛИКОВАНИЕ
Постановление Правительства Республики Саха (Якутия) от 03.05.2024 № 165
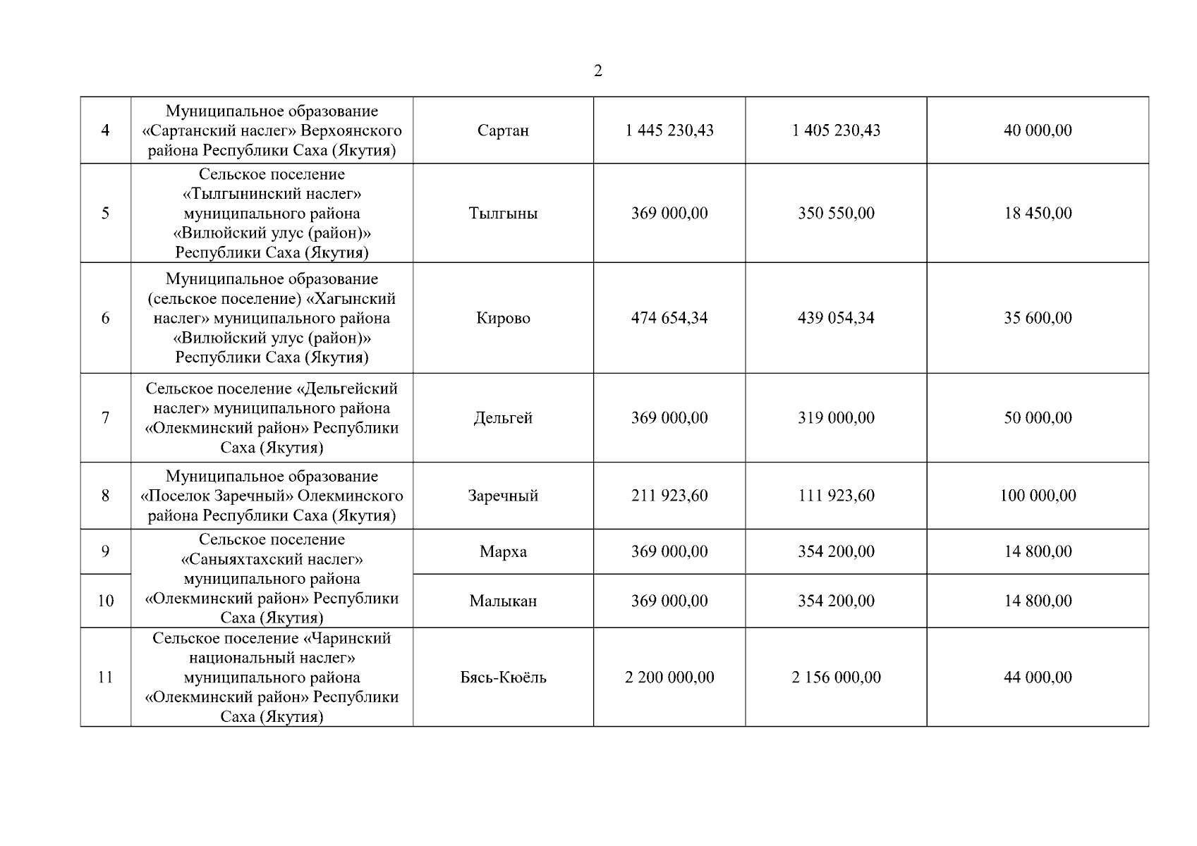
"О распределении субсидий из государственного бюджета Республики Саха (Якутия) местным бюджетам на софинансирование расходных обязательств, связанных с использованием, в том числе с эксплуатацией и содержанием земельных участков, находящихся в муниципальной собственности, предназначенных для взлета и посадки воздушных судов (посадочных площадок), в 2024 году"
Номер опубликования: 1400202405070005
Дата опубликования: 07.05.2024
Страница №3 из 4:
Увеличить