Официальное опубликование правовых актов
ОФИЦИАЛЬНОЕ ОПУБЛИКОВАНИЕ
Постановление Правительства Республики Саха (Якутия) от 03.05.2024 № 167
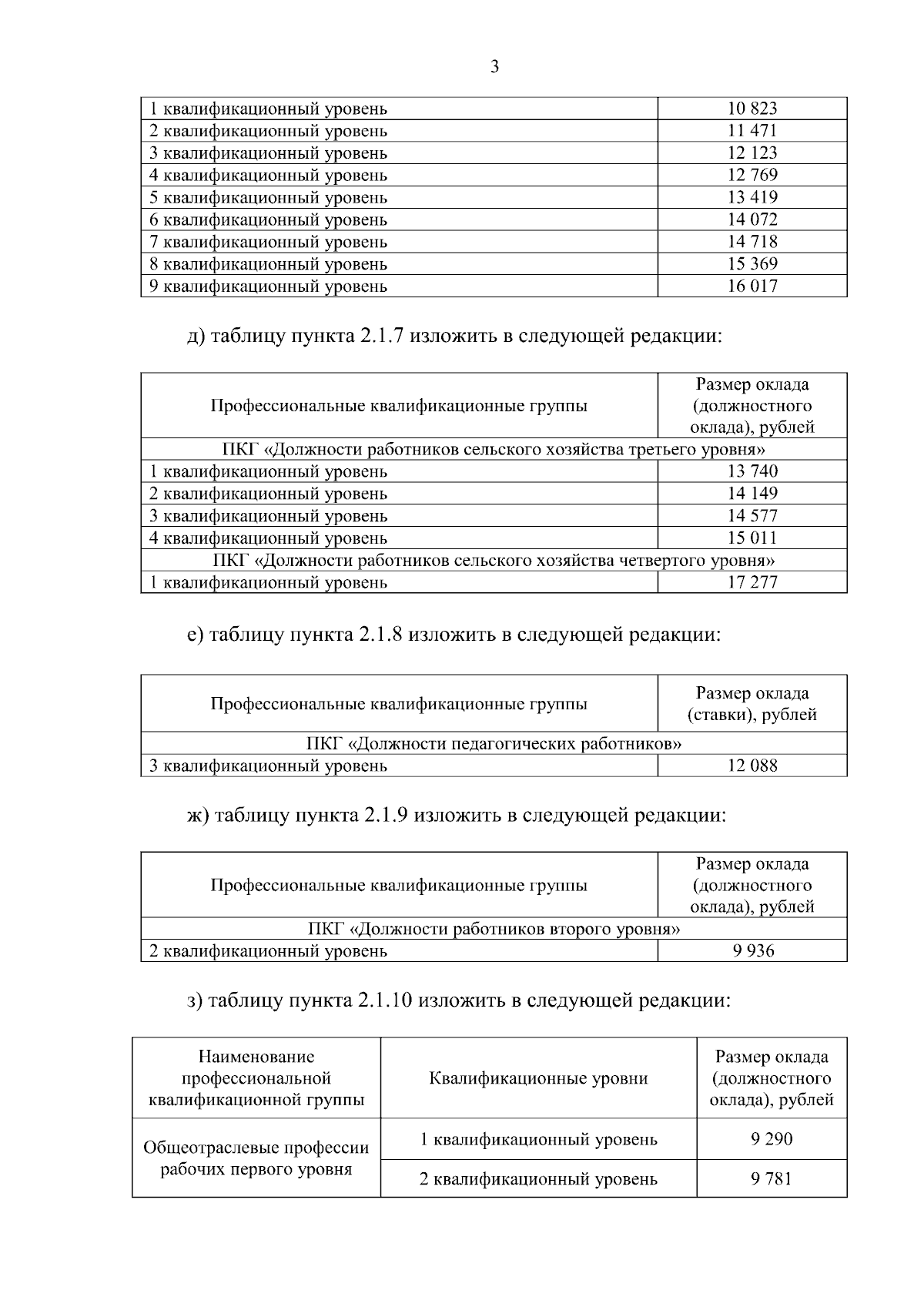
"О внесении изменений в постановление Правительства Республики Саха (Якутия) от 30 августа 2022 г. № 537 "Об утверждении Положения об оплате труда работников государственных учреждений, подведомственных Министерству экологии, природопользования и лесного хозяйства Республики Саха (Якутия)"
Номер опубликования: 1400202405070003
Дата опубликования: 07.05.2024
Страница №3 из 6:
Увеличить