Официальное опубликование правовых актов
ОФИЦИАЛЬНОЕ ОПУБЛИКОВАНИЕ
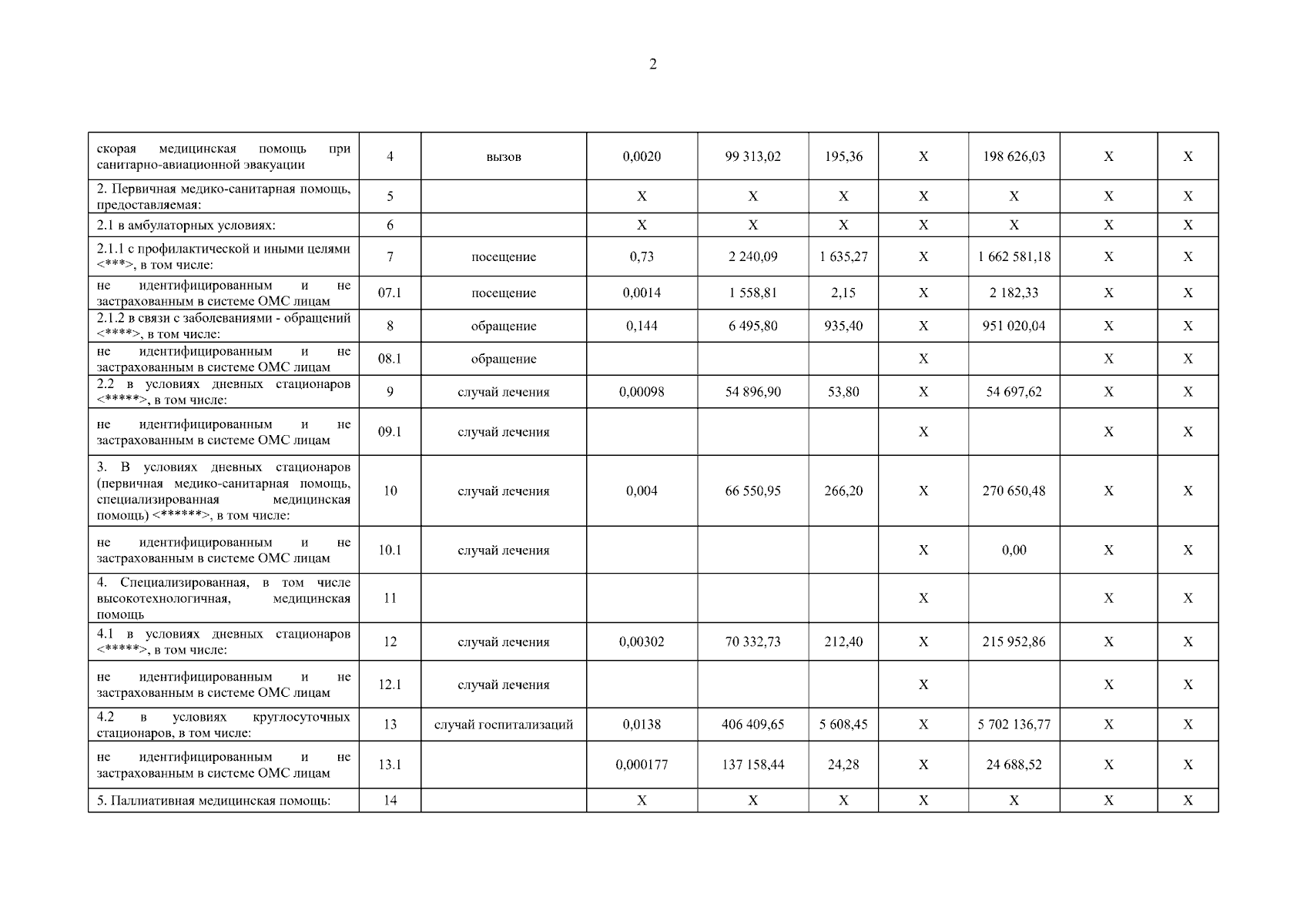
Постановление Правительства Республики Саха (Якутия) от 30.04.2024 № 163
"О внесении изменений в программу государственных гарантий бесплатного оказания гражданам медицинской помощи в Республике Саха (Якутия) на 2024 год и на плановый период 2025 и 2026 годов, утвержденную постановлением Правительства Республики Саха (Якутия) от 29 декабря 2023 г. № 651"
Номер опубликования: 1400202405060004
Дата опубликования: 06.05.2024
Страница №65 из 212:
Увеличить