Официальное опубликование правовых актов
ОФИЦИАЛЬНОЕ ОПУБЛИКОВАНИЕ
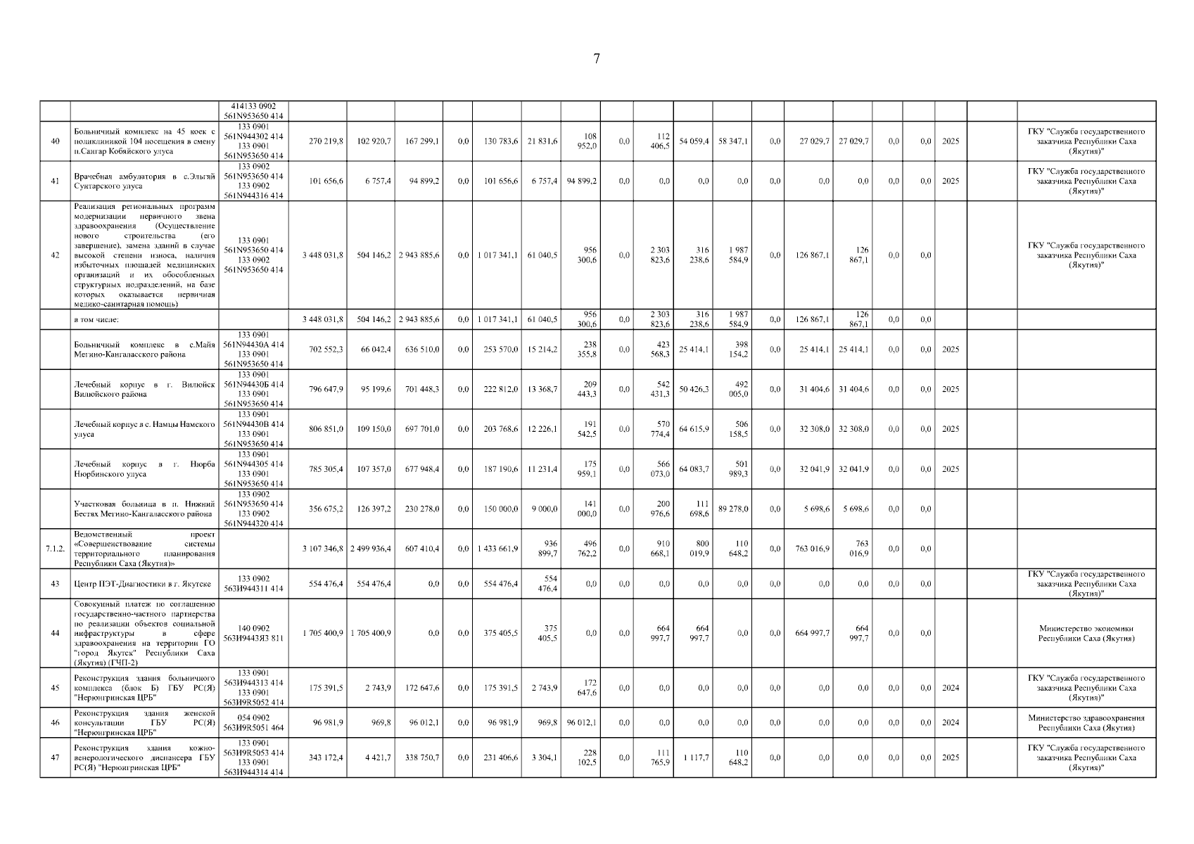
Постановление Правительства Республики Саха (Якутия) от 15.02.2024 № 60
"Об утверждении Инвестиционной программы Республики Саха (Якутия) на 2024 год и на плановый период 2025 и 2026 годов"
Номер опубликования: 1400202402190002
Дата опубликования: 19.02.2024
Страница №8 из 14:
Увеличить