Официальное опубликование правовых актов
ОФИЦИАЛЬНОЕ ОПУБЛИКОВАНИЕ
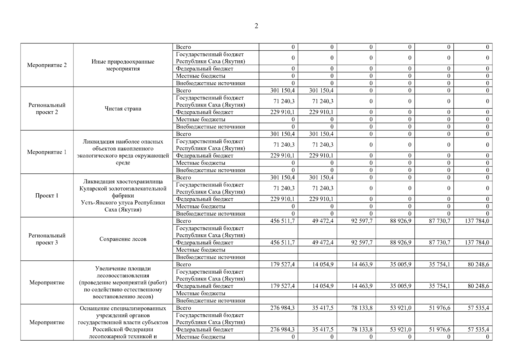
Постановление Правительства Республики Саха (Якутия) от 12.02.2024 № 52
"О внесении изменений в государственную программу Республики Саха (Якутия) "Обеспечение экологической безопасности, рационального природопользования и развитие лесного хозяйства Республики Саха (Якутия)", утвержденную постановлением Правительства Республики Саха (Якутия) от 18 июля 2022 г. № 442"
Номер опубликования: 1400202402140002
Дата опубликования: 14.02.2024
Страница №11 из 37:
Увеличить