Постановление Правительства Республики Саха (Якутия) от 28.12.2023 № 644
"О внесении изменений в Инвестиционную программу Республики Саха (Якутия) на 2023 год и на плановый период 2024 и 2025 годов, утвержденную постановлением Правительства Республики Саха (Якутия) от 24 января 2023 г. № 26"
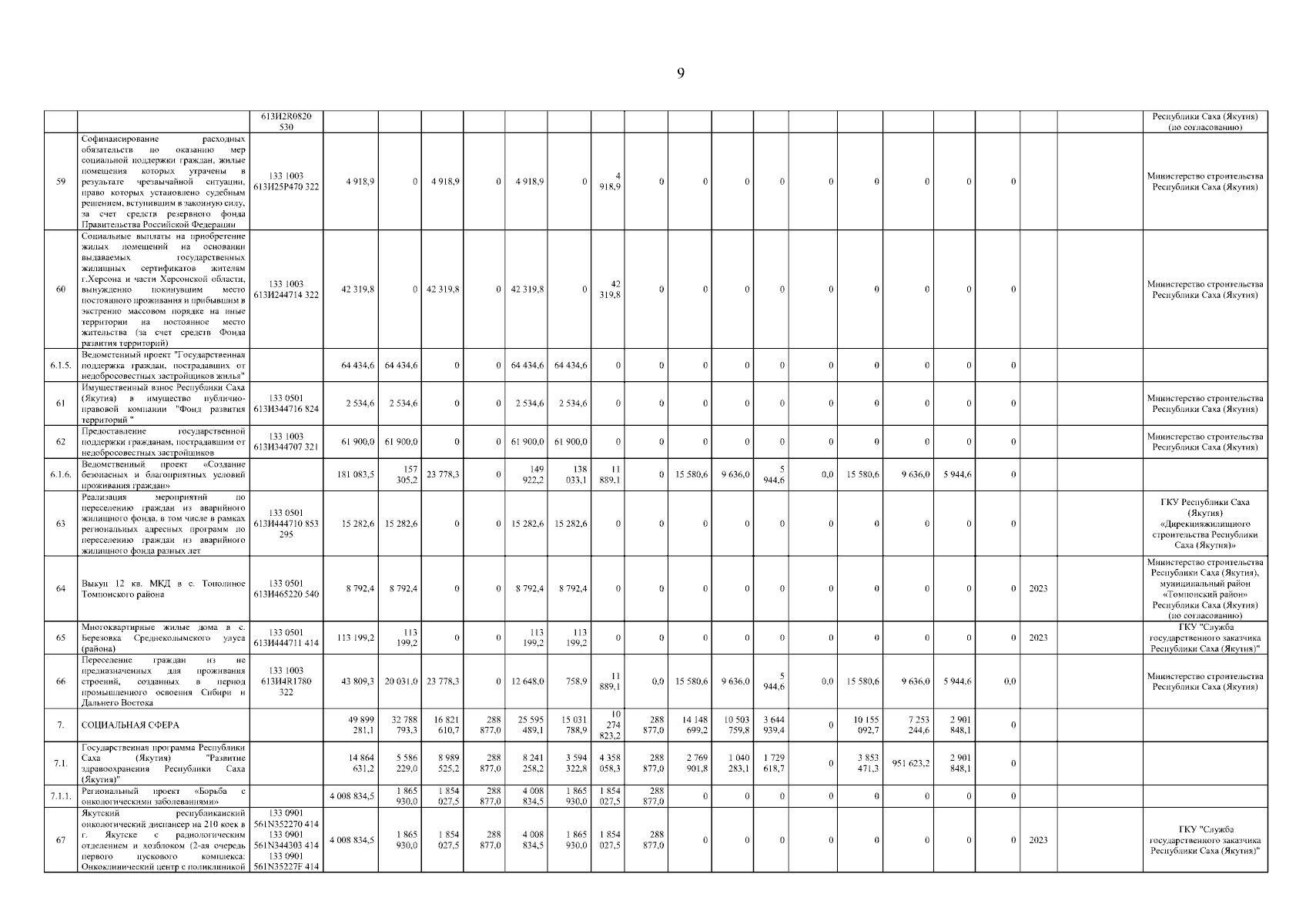
"О внесении изменений в Инвестиционную программу Республики Саха (Якутия) на 2023 год и на плановый период 2024 и 2025 годов, утвержденную постановлением Правительства Республики Саха (Якутия) от 24 января 2023 г. № 26"
Номер опубликования: 1400202312290013
Дата опубликования:
29.12.2023
