Официальное опубликование правовых актов
ОФИЦИАЛЬНОЕ ОПУБЛИКОВАНИЕ
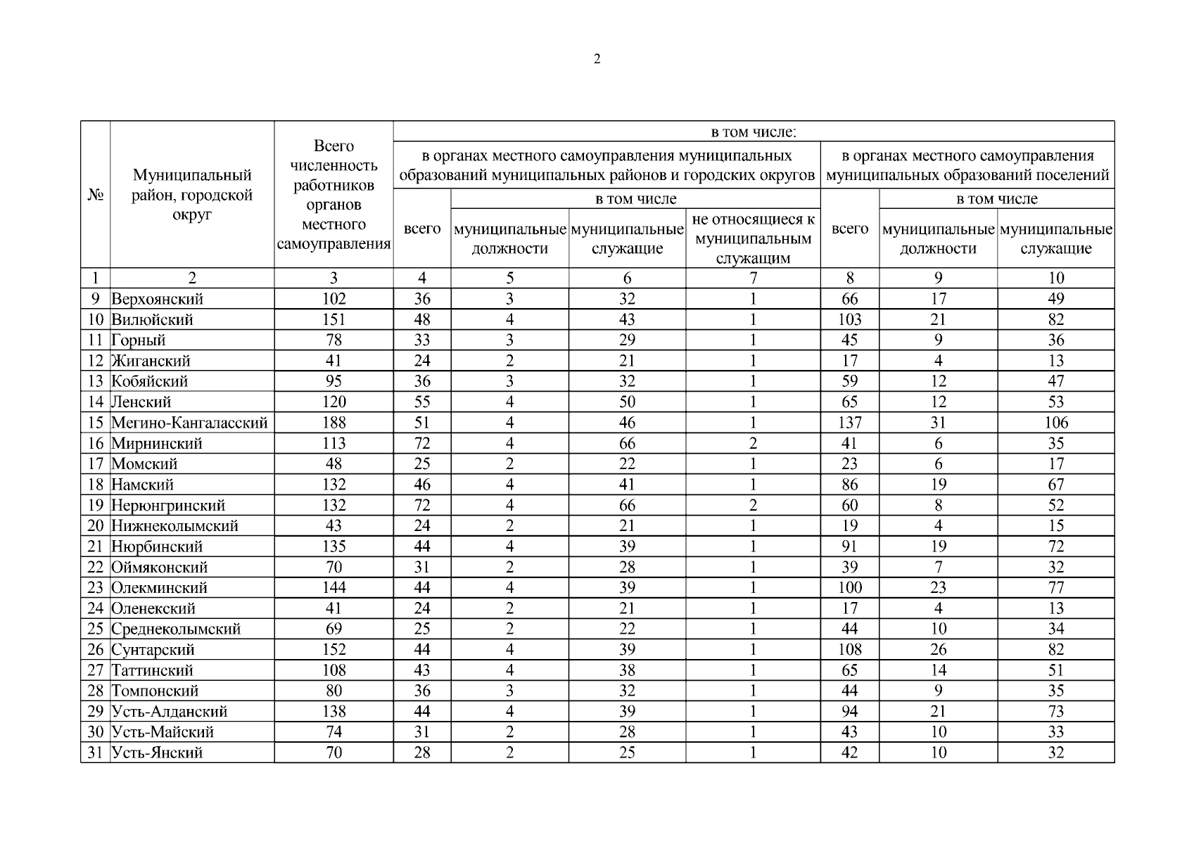
Постановление Правительства Республики Саха (Якутия) от 23.12.2023 № 629
"О численности работников органов местного самоуправления Республики Саха (Якутия), применяемой для определения нормативов формирования расходов на содержание органов местного самоуправления"
Номер опубликования: 1400202312270002
Дата опубликования: 27.12.2023
Страница №20 из 25:
Увеличить