Официальное опубликование правовых актов
ОФИЦИАЛЬНОЕ ОПУБЛИКОВАНИЕ
Постановление Правительства Республики Саха (Якутия) от 26.10.2023 № 522
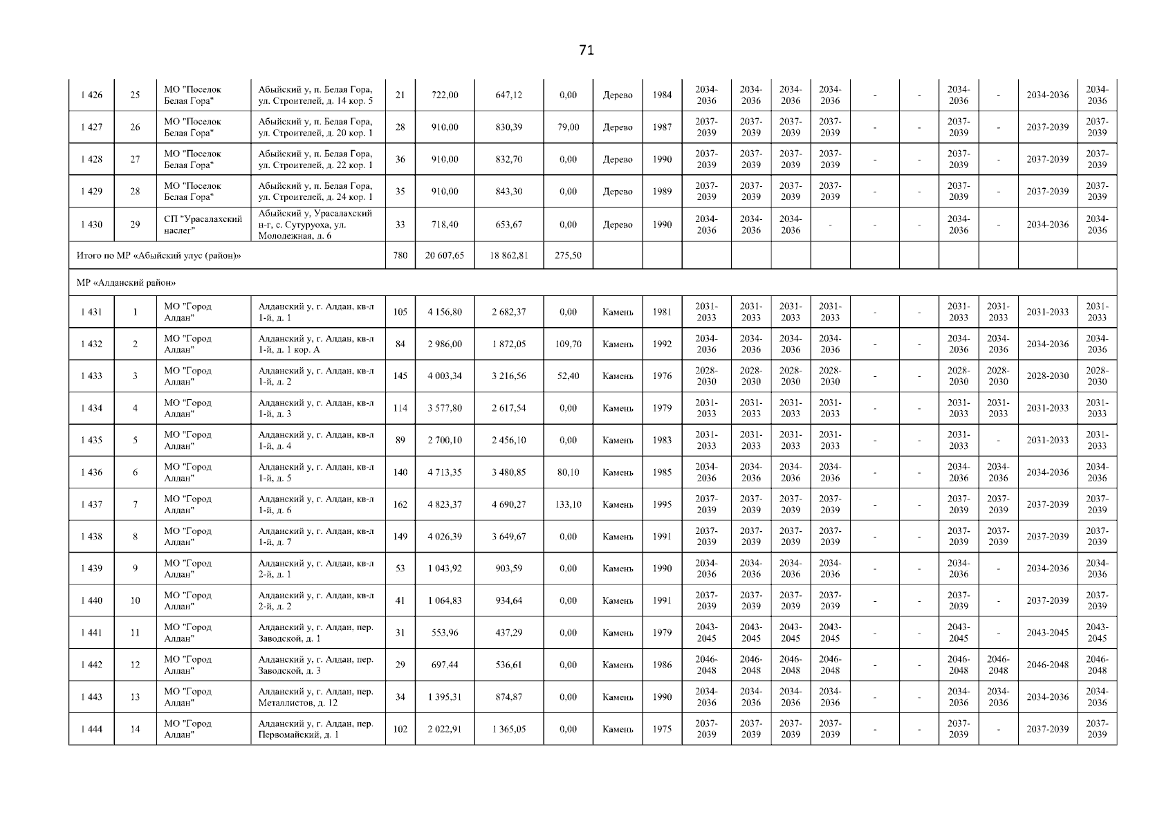
"О внесении изменений в региональную программу капитального ремонта общего имущества в многоквартирных домах, расположенных на территории Республики Саха (Якутия), утвержденную постановлением Правительства Республики Саха (Якутия) от 18 июля 2022 г. № 459"
Номер опубликования: 1400202310300003
Дата опубликования: 30.10.2023
Страница №71 из 168:
Увеличить