Официальное опубликование правовых актов
ОФИЦИАЛЬНОЕ ОПУБЛИКОВАНИЕ
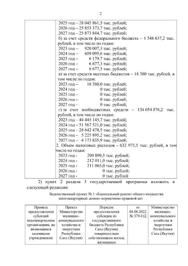
Постановление Правительства Республики Саха (Якутия) от 11.07.2023 № 335
"О внесении изменений в государственную программу Республики Саха (Якутия) "Обеспечение качественными жилищно-коммунальными услугами и развитие энергетики Республики Саха (Якутия)", утвержденную постановлением Правительства Республики Саха (Якутия) от 18 июля 2022 г. № 443"
Номер опубликования: 1400202307140004
Дата опубликования: 14.07.2023
Страница №2 из 11:
Увеличить