Официальное опубликование правовых актов
ОФИЦИАЛЬНОЕ ОПУБЛИКОВАНИЕ
Постановление Правительства Республики Саха (Якутия) от 10.05.2023 № 206
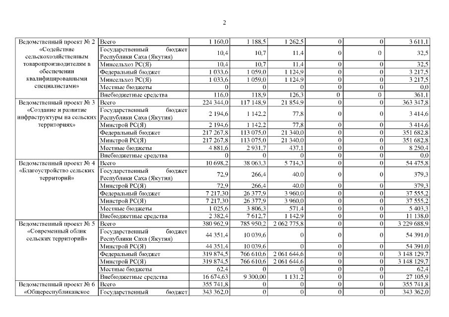
"О внесении изменений в государственную программу Республики Саха (Якутия) "Комплексное развитие сельских территорий", утвержденную постановлением Правительства Республики Саха (Якутия) от 18 июля 2022 г. № 433"
Номер опубликования: 1400202305150001
Дата опубликования: 15.05.2023
Страница №16 из 106:
Увеличить