Официальное опубликование правовых актов
ОФИЦИАЛЬНОЕ ОПУБЛИКОВАНИЕ
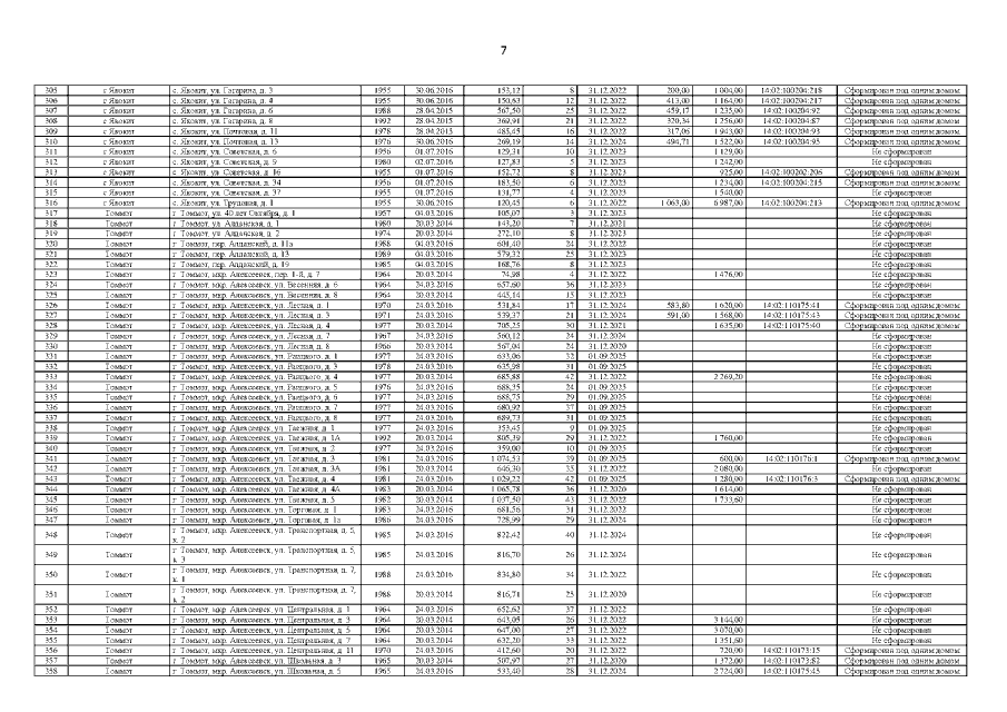
Постановление Правительства Республики Саха (Якутия) от 14.04.2023 № 168
"О внесении изменений в республиканскую адресную программу "Переселение граждан из аварийного жилищного фонда на 2019-2025 годы", утвержденную постановлением Правительства Республики Саха (Якутия) от 27 марта 2019 г. № 50"
Номер опубликования: 1400202304210001
Дата опубликования: 21.04.2023
Страница №10 из 109:
Увеличить