Официальное опубликование правовых актов
ОФИЦИАЛЬНОЕ ОПУБЛИКОВАНИЕ
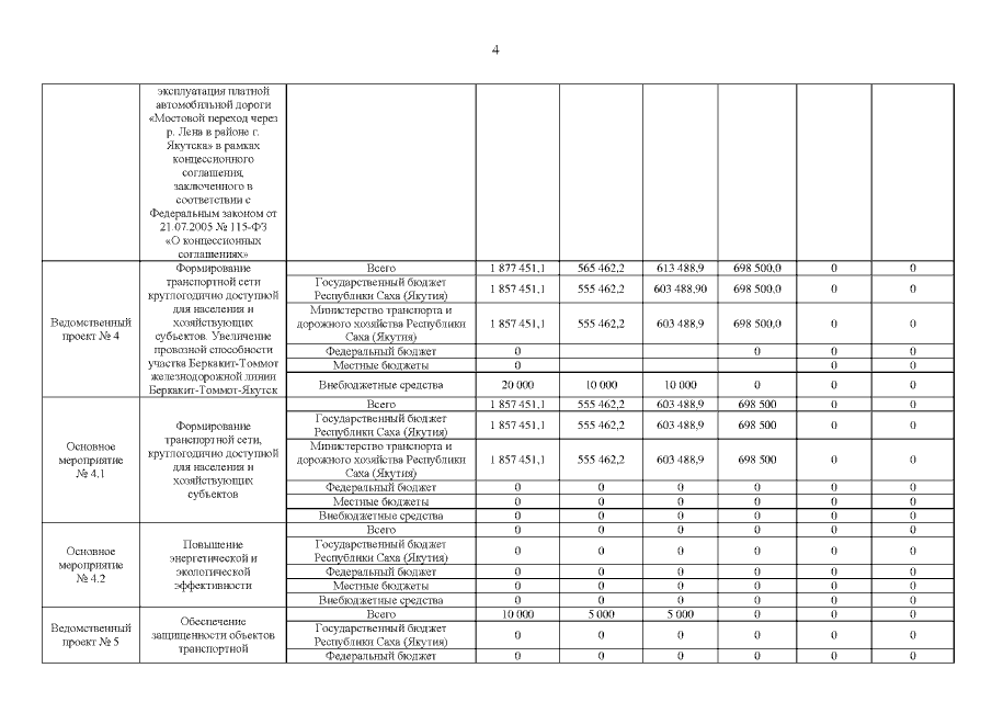
Постановление Правительства Республики Саха (Якутия) от 20.03.2023 № 123
"О внесении изменений в государственную программу Республики Саха (Якутия) "Развитие транспортного комплекса Республики Саха (Якутия)", утвержденную постановлением Правительства Республики Саха (Якутия) от 18 июля 2022 г. № 473"
Номер опубликования: 1400202303220001
Дата опубликования: 22.03.2023
Страница №21 из 41:
Увеличить