Официальное опубликование правовых актов
ОФИЦИАЛЬНОЕ ОПУБЛИКОВАНИЕ
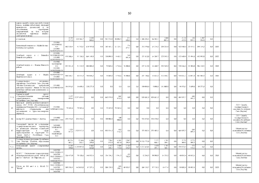
Постановление Правительства Республики Саха (Якутия) от 24.01.2023 № 26
"Об утверждении Инвестиционной программы Республики Саха (Якутия) на 2023 год и на плановый период 2024 и 2025 годов"
Номер опубликования: 1400202301260003
Дата опубликования: 26.01.2023
Страница №11 из 17:
Увеличить