Официальное опубликование правовых актов
ОФИЦИАЛЬНОЕ ОПУБЛИКОВАНИЕ
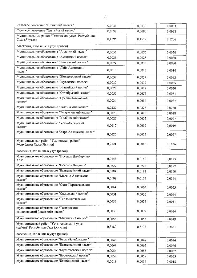
Закон Республики Саха (Якутия) от 09.12.2022 2553-З № 1015-VI
"О государственном бюджете Республики Саха (Якутия) на 2023 год и на плановый период 2024 и 2025 годов"
Номер опубликования: 1400202212090009
Дата опубликования: 09.12.2022
Страница №43 из 308:
Увеличить