Официальное опубликование правовых актов
ОФИЦИАЛЬНОЕ ОПУБЛИКОВАНИЕ
Постановление Правительства Республики Саха (Якутия) от 14.10.2022 № 624
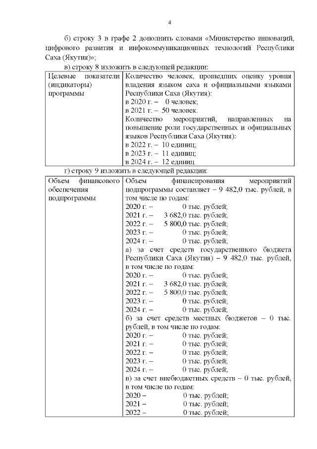
"О внесении изменений в государственную программу Республики Саха (Якутия) "Сохранение и развитие государственных и официальных языков в Республике Саха (Якутия) на 2020-2024 годы", утвержденную постановлением Правительства Республики Саха (Якутия) от 15 сентября 2021 г. № 355"
Номер опубликования: 1400202210200003
Дата опубликования: 20.10.2022
Страница №4 из 19:
Увеличить