Официальное опубликование правовых актов
ОФИЦИАЛЬНОЕ ОПУБЛИКОВАНИЕ
Постановление Правительства Республики Саха (Якутия) от 25.08.2022 № 513
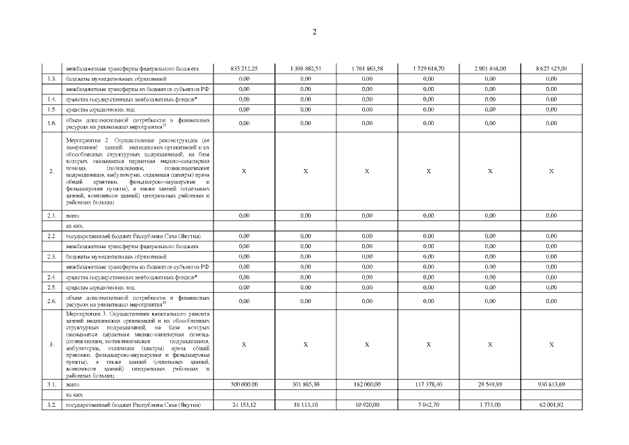
"О внесении изменений в региональную программу "Модернизация первичного звена здравоохранения Республики Саха (Якутия) на 2021 – 2025 годы", утвержденную постановлением Правительства Республики Саха (Якутия) от 20 декабря 2021 г. № 528"
Номер опубликования: 1400202208310003
Дата опубликования: 31.08.2022
Страница №7 из 113:
Увеличить