Официальное опубликование правовых актов
ОФИЦИАЛЬНОЕ ОПУБЛИКОВАНИЕ
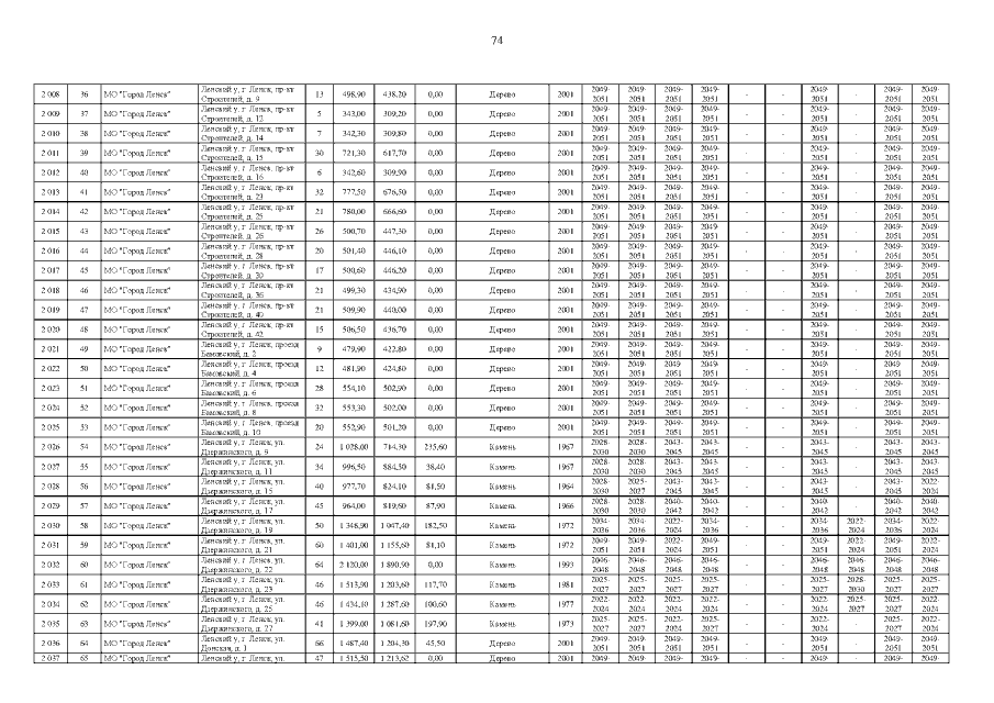
Постановление Правительства Республики Саха (Якутия) от 18.07.2022 № 459
"О региональной программе капитального ремонта общего имущества в многоквартирных домах, расположенных на территории Республики Саха (Якутия)"
Номер опубликования: 1400202207220017
Дата опубликования: 22.07.2022
Страница №82 из 146:
Увеличить