Официальное опубликование правовых актов
ОФИЦИАЛЬНОЕ ОПУБЛИКОВАНИЕ
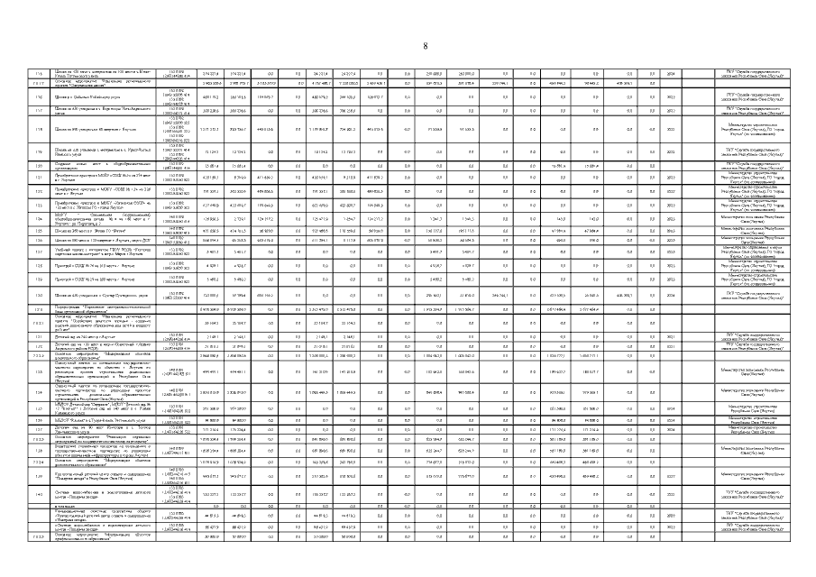
Постановление Правительства Республики Саха (Якутия) от 11.04.2022 № 215
"О внесении изменений в Инвестиционную программу РеспубликиСаха (Якутия) на 2022 год и на плановый период 2023 и 2024 годов, утвержденную постановлением Правительства Республики Саха (Якутия) от 15 февраля 2022 г. № 86"
Номер опубликования: 1400202204130002
Дата опубликования: 13.04.2022
Страница №9 из 11:
Увеличить