Официальное опубликование правовых актов
ОФИЦИАЛЬНОЕ ОПУБЛИКОВАНИЕ
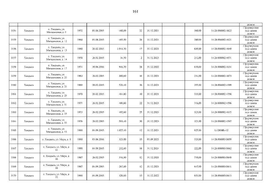
Постановление Правительства Республики Саха (Якутия) от 25.01.2022 № 36
"О внесении изменений в республиканскую адресную программу "Переселение граждан из аварийного жилищного фонда на 2019 - 2025 годы", утвержденную постановлением Правительства Республики Саха (Якутия) от 27 марта 2019 г. № 50"
Номер опубликования: 1400202201310006
Дата опубликования: 31.01.2022
Страница №164 из 223:
Увеличить