Официальное опубликование правовых актов
ОФИЦИАЛЬНОЕ ОПУБЛИКОВАНИЕ
Постановление Правительства Республики Саха (Якутия) от 15.09.2021 № 353
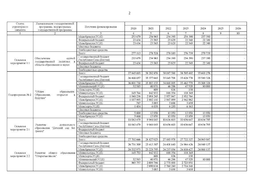
"О государственной программе Республики Саха (Якутия) "Развитие образования Республики Саха (Якутия) на 2020-2024 годы и на плановый период до 2026 года"
Номер опубликования: 1400202109230003
Дата опубликования: 23.09.2021
Страница №122 из 272:
Увеличить