Официальное опубликование правовых актов
ОФИЦИАЛЬНОЕ ОПУБЛИКОВАНИЕ
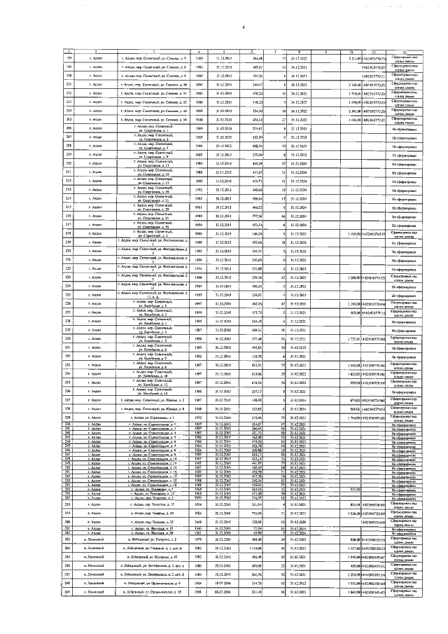
Постановление Правительства Республики Саха (Якутия) от 09.07.2021 № 238
"О внесении изменений в республиканскую адресную программу "Переселение граждан из аварийного жилищного фонда на 2019-2025 годы", утвержденную постановлением Правительства Республики Саха (Якутия) от 27 марта 2019 г. № 50"
Номер опубликования: 1400202107120003
Дата опубликования: 12.07.2021
Страница №18 из 92:
Увеличить