Официальное опубликование правовых актов
ОФИЦИАЛЬНОЕ ОПУБЛИКОВАНИЕ
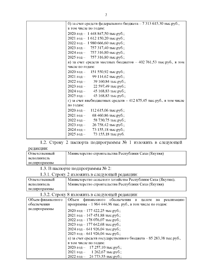
Указ Главы Республики Саха (Якутия) от 01.07.2021 № 1926
"О внесении изменений в государственную программу Республики Саха (Якутия) "Комплексное развитие сельских территорий на 2020 - 2025 годы", утвержденную Указом Главы Республики Саха (Якутия) от 16 декабря 2019 г. № 906 "О государственной программе Республики Саха (Якутия) "Комплексное развитие сельских территорий на 2020 - 2025 годы"
Номер опубликования: 1400202107070023
Дата опубликования: 07.07.2021
Страница №2 из 24:
Увеличить