Официальное опубликование правовых актов
ОФИЦИАЛЬНОЕ ОПУБЛИКОВАНИЕ
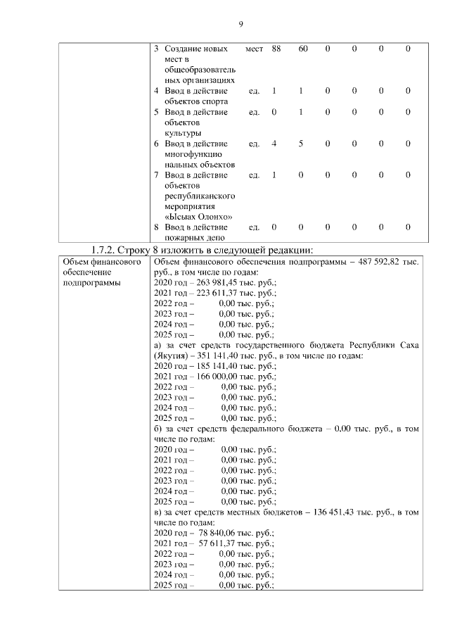
Указ Главы Республики Саха (Якутия) от 12.03.2021 № 1750
"О внесении изменений в Указ Главы Республики Саха (Якутия) от 16 декабря 2019 г. № 906 "О государственной программе Республики Саха (Якутия) "Комплексное развитие сельских территорий на 2020 - 2025 годы"
Номер опубликования: 1400202103150001
Дата опубликования: 15.03.2021
Страница №9 из 23:
Увеличить