Официальное опубликование правовых актов
ОФИЦИАЛЬНОЕ ОПУБЛИКОВАНИЕ
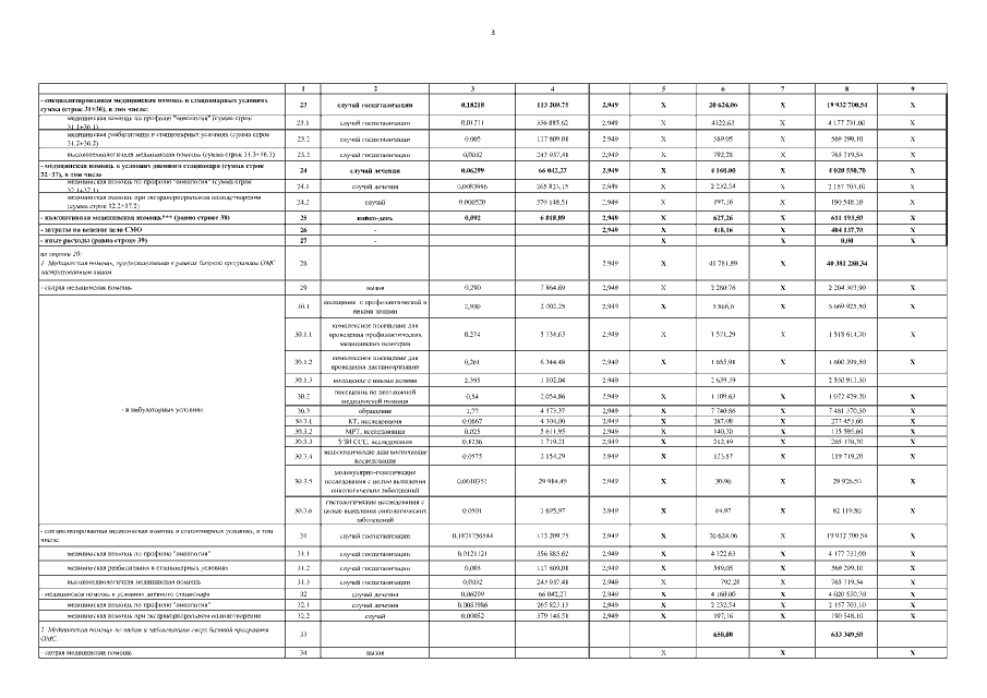
Постановление Правительства Республики Саха (Якутия) от 02.12.2020 № 377
"О внесении изменений в Программу государственных гарантий бесплатного оказания гражданам медицинской помощи в Республике Саха (Якутия) на 2020 год и на плановый период 2021 и 2022 годов, утвержденную постановлением Правительства Республики Саха (Якутия) от 31 декабря 2019 г. № 424"
Номер опубликования: 1400202012070003
Дата опубликования: 07.12.2020
Страница №27 из 100:
Увеличить