Официальное опубликование правовых актов
ОФИЦИАЛЬНОЕ ОПУБЛИКОВАНИЕ
Указ Главы Республики Саха (Якутия) от 14.09.2020 № 1412
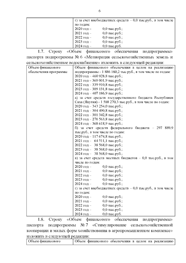
"О внесении изменений в государственную программу Республики Саха (Якутия) "Развитие сельского хозяйства и регулирование рынков сельскохозяйственной продукции, сырья и продовольствия на 2020 - 2024 годы", утвержденную Указом Главы Республики Саха (Якутия) от 10 декабря 2019 г. № 873"
Номер опубликования: 1400202009170002
Дата опубликования: 17.09.2020
Страница №6 из 19:
Увеличить