Официальное опубликование правовых актов
ОФИЦИАЛЬНОЕ ОПУБЛИКОВАНИЕ
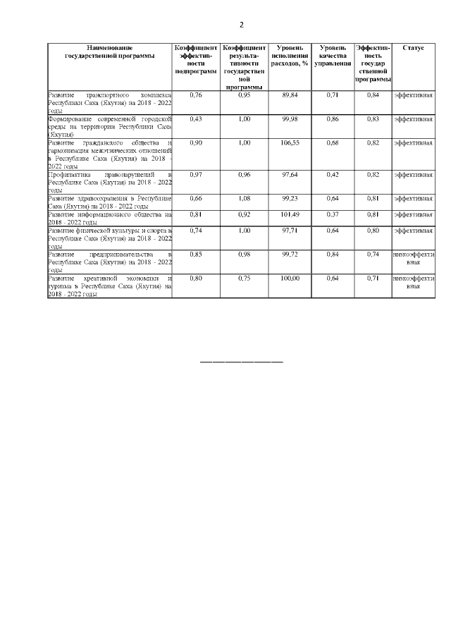
Указ Главы Республики Саха (Якутия) от 29.05.2020 № 1220
"О сводном годовом докладе о ходе реализации и оценке эффективности государственных программ Республики Саха (Якутия) за 2019 год"
Номер опубликования: 1400202006010003
Дата опубликования: 01.06.2020
Страница №426 из 426:
Увеличить