Официальное опубликование правовых актов
ОФИЦИАЛЬНОЕ ОПУБЛИКОВАНИЕ
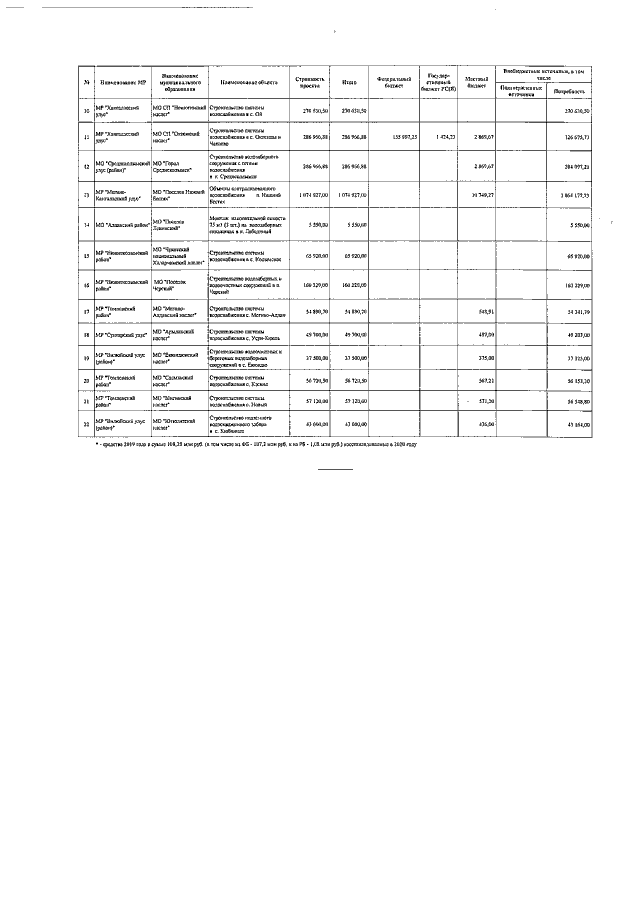
Постановление Правительства Республики Саха (Якутия) от 20.02.2020 № 30
"О внесении изменений в постановление Правительства Республики Саха (Якутия) от 31 июля 2019 г. № 211 "Об утверждении региональной программы Республики Саха (Якутия) "Чистая вода" на 2019-2024 годы"
Номер опубликования: 1400202002260001
Дата опубликования: 26.02.2020
Страница №7 из 44:
Увеличить