Постановление Правительства Республики Саха (Якутия) от 09.12.2019 № 360
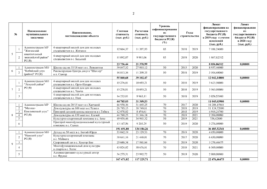
"О внесении изменений в постановление Правительства Республики Саха (Якутия) от 11 марта 2019 г. № 37 "Об утверждении Перечня муниципальных заказчиков получателей субсидии из государственного бюджета Республики Саха (Якутия) на реализацию мероприятий общереспубликанского движения добрых дел "Моя Якутия в ХХI веке" на 2019 год и на плановый 2020 год"
"О внесении изменений в постановление Правительства Республики Саха (Якутия) от 11 марта 2019 г. № 37 "Об утверждении Перечня муниципальных заказчиков получателей субсидии из государственного бюджета Республики Саха (Якутия) на реализацию мероприятий общереспубликанского движения добрых дел "Моя Якутия в ХХI веке" на 2019 год и на плановый 2020 год"
Номер опубликования: 1400201912120012
Дата опубликования:
12.12.2019
