Официальное опубликование правовых актов
ОФИЦИАЛЬНОЕ ОПУБЛИКОВАНИЕ
Указ Главы Республики Саха (Якутия) от 31.05.2019 № 572
"О Сводном годовом докладе о ходе реализации и оценке эффективности государственных программ Республики Саха (Якутия) за 2018 год"
Номер опубликования: 1400201906060001
Дата опубликования: 06.06.2019
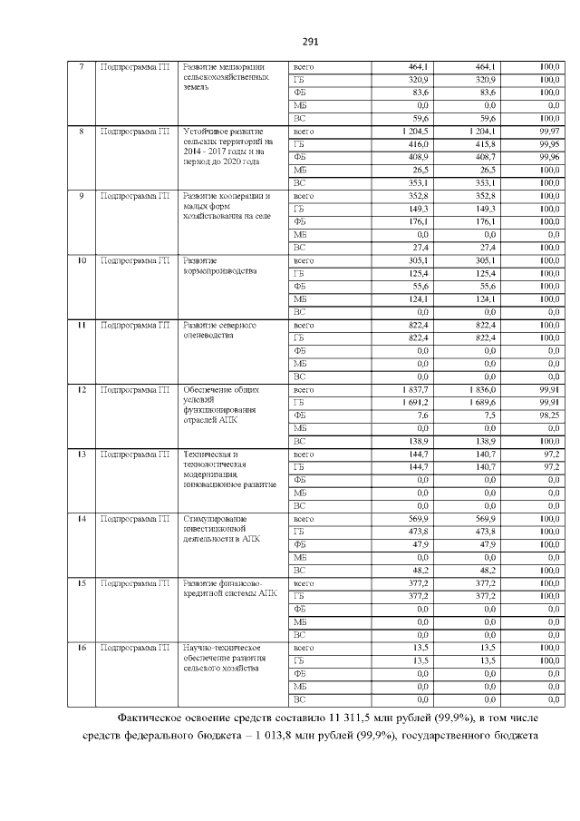
Страница №292 из 1136:
Увеличить