Официальное опубликование правовых актов
ОФИЦИАЛЬНОЕ ОПУБЛИКОВАНИЕ
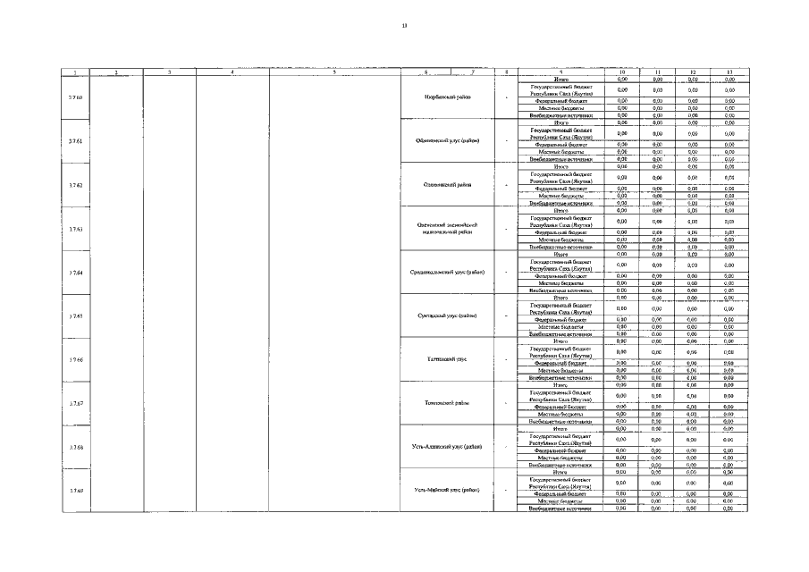
Указ Главы Республики Саха (Якутия) от 29.05.2019 № 571
"О внесении изменений в государственную программу Республики Саха (Якутия) "Обеспечение качественным жильем и повышение качества жилищно-коммунальных услуг на 2018 - 2022 годы", утвержденную Указом Главы Республики Саха (Якутия) от 25 октября 2017 г. № 2165"
Номер опубликования: 1400201906040002
Дата опубликования: 04.06.2019
Страница №54 из 64:
Увеличить