Официальное опубликование правовых актов
ОФИЦИАЛЬНОЕ ОПУБЛИКОВАНИЕ
Указ Главы Республики Саха (Якутия) от 27.11.2017 № 2231
"О государственной программе Республики Саха (Якутия) "Развитие энергетики Республики Саха (Якутия) на 2018-2022 годы"
Номер опубликования: 1400201711300005
Дата опубликования: 30.11.2017
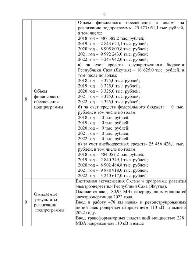
Страница №9 из 47:
Увеличить