Официальное опубликование правовых актов
ОФИЦИАЛЬНОЕ ОПУБЛИКОВАНИЕ
Указ Главы Республики Саха (Якутия) от 19.07.2017 № 2029
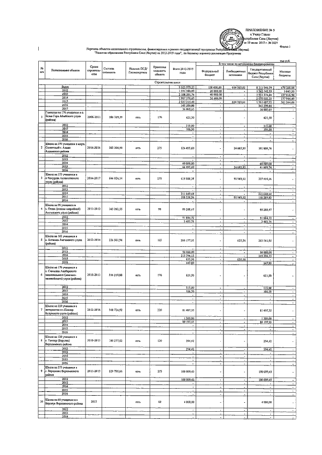
"О внесении изменений в государственную программу Республики Саха (Якутия), утвержденную Указом Президента Республики Саха (Якутия) от 12 октября 2011 г. № 973 "О государственной программе Республики Саха (Якутия) "Развитие образования Республики Саха (Якутия) на 2012-2019 годы"
Номер опубликования: 1400201707210005
Дата опубликования: 21.07.2017
Страница №99 из 144:
Увеличить