Официальное опубликование правовых актов
ОФИЦИАЛЬНОЕ ОПУБЛИКОВАНИЕ
Указ Главы Республики Саха (Якутия) от 21.03.2017 № 1813
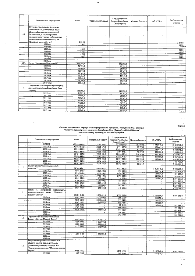
"О внесении изменений в государственную программу Республики Саха (Якутия) от 12 октября 2011 г. № 974 "О государственной программе Республики Саха (Якутия) “Развитие транспортного комплекса Республики Саха (Якутия) на 2012 - 2019 годы”"
Номер опубликования: 1400201703240001
Дата опубликования: 24.03.2017
Страница №28 из 82:
Увеличить