Официальное опубликование правовых актов
ОФИЦИАЛЬНОЕ ОПУБЛИКОВАНИЕ
Указ Главы Республики Саха (Якутия) от 30.12.2016 № 1653
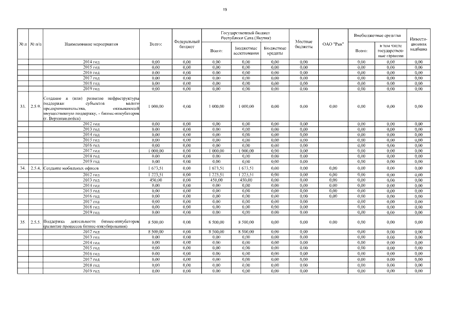
"О внесении изменений в государственную программу Республики Саха (Якутия) "Развитие предпринимательства в Республике Саха (Якутия) на 2012-2019 годы", утвержденную Указом Президента Республики Саха (Якутия) от 12 октября 2011 г. № 980"
Номер опубликования: 1400201701030001
Дата опубликования: 03.01.2017
Страница №23 из 73:
Увеличить