Официальное опубликование правовых актов
ОФИЦИАЛЬНОЕ ОПУБЛИКОВАНИЕ
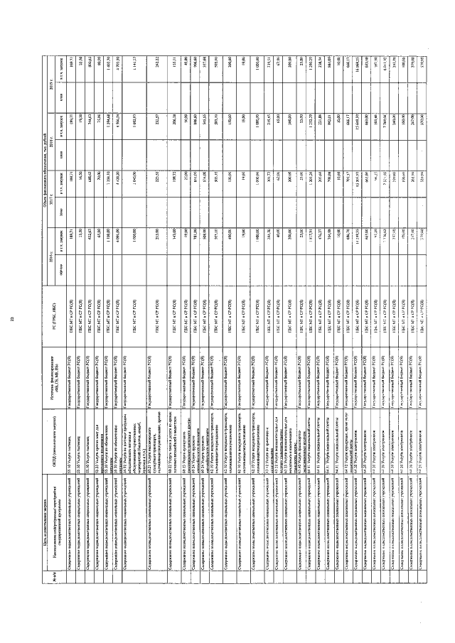
Указ Главы Республики Саха (Якутия) от 21.12.2016 № 1593
"О внесении изменений в Указ Президента Республики Саха (Якутия) от 12 октября 2011 г. № 976 "О государственной программе Республики Саха (Якутия) “Социальная поддержка граждан в Республике Саха (Якутия) на 2012 - 2019 годы”"
Номер опубликования: 1400201612260016
Дата опубликования: 26.12.2016
Страница №100 из 111:
Увеличить