Официальное опубликование правовых актов
ОФИЦИАЛЬНОЕ ОПУБЛИКОВАНИЕ
Указ Главы Республики Саха (Якутия) от 31.10.2016 № 1457
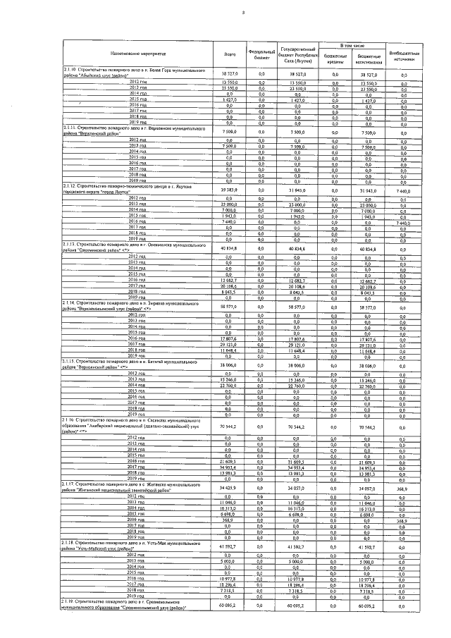
"О внесении изменений в Указ Президента Республики Саха (Якутия) от 12 октября 2011 г. № 985 "О государственной программе Республики Саха (Якутия) "Обеспечение безопасности жизнедеятельности населения Республики Саха (Якутия) на 2012 – 2019 годы"
Номер опубликования: 1400201611030004
Дата опубликования: 03.11.2016
Страница №47 из 72:
Увеличить