Официальное опубликование правовых актов
ОФИЦИАЛЬНОЕ ОПУБЛИКОВАНИЕ
Указ Главы Республики Саха (Якутия) от 13.10.2016 № 1433
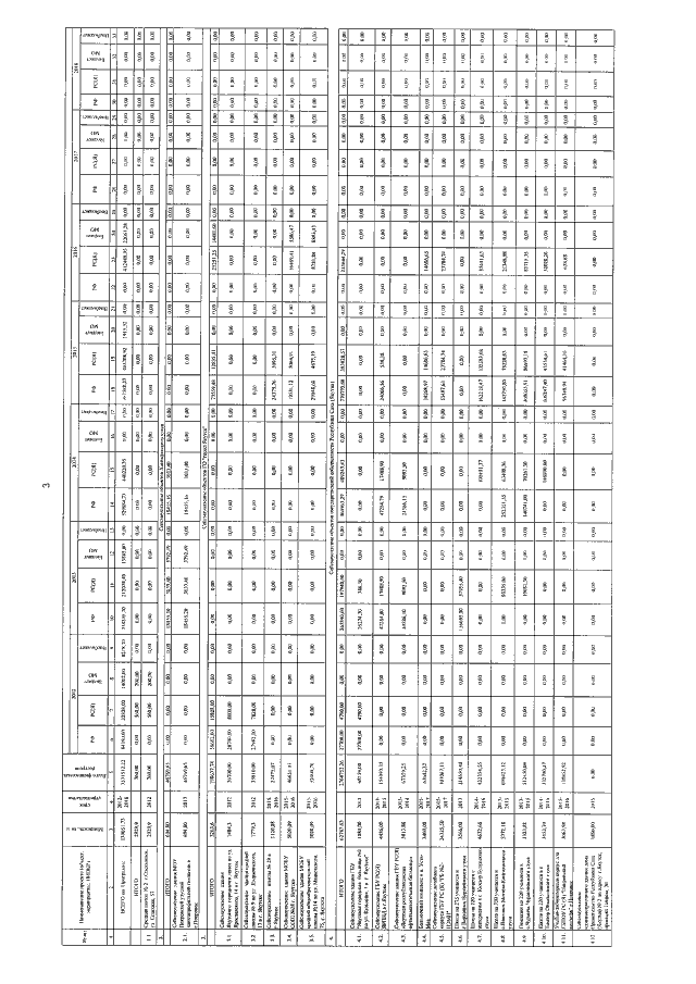
"О внесении изменений в Указ Президента Республики Саха (Якутия) от 12 октября 2011 г. № 957 "О государственной программе Республики Саха (Якутия) “Повышение устойчивости жилых домов, основных объектов и систем жизнеобеспечения в сейсмических районах Республики Саха (Якутия) на 2012-2018 годы”"
Номер опубликования: 1400201610170002
Дата опубликования: 17.10.2016
Страница №36 из 40:
Увеличить