Официальное опубликование правовых актов
ОФИЦИАЛЬНОЕ ОПУБЛИКОВАНИЕ
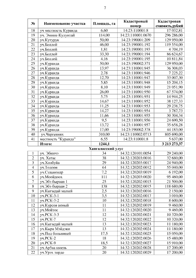
Постановление Правительства Республики Саха (Якутия) от 28.07.2016 № 260
"Об утверждении Перечня особо ценных продуктивных сельскохозяйственных угодий, расположенных на территории Республики Саха (Якутия)"
Номер опубликования: 1400201608010006
Дата опубликования: 01.08.2016
Страница №8 из 9:
Увеличить