Официальное опубликование правовых актов
ОФИЦИАЛЬНОЕ ОПУБЛИКОВАНИЕ
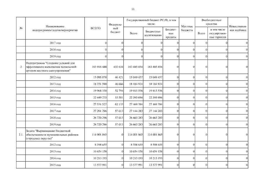
Указ Главы Республики Саха (Якутия) от 22.07.2016 № 1327
"О внесении изменений в государственную программу Республики Саха (Якутия) "Управление государственными финансами и государственным долгом", утвержденную Указом Президента Республики Саха (Якутия) от 12.10.2011 № 969"
Номер опубликования: 1400201607250002
Дата опубликования: 25.07.2016
Страница №17 из 30:
Увеличить