Официальное опубликование правовых актов
ОФИЦИАЛЬНОЕ ОПУБЛИКОВАНИЕ
Указ Главы Республики Саха (Якутия) от 18.07.2016 № 1317
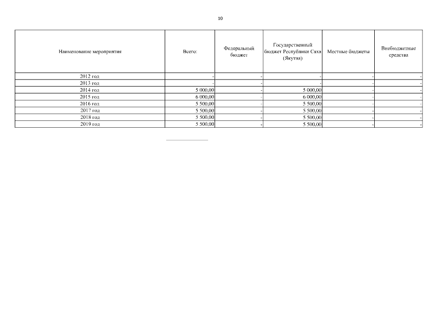
"О внесении изменений в Указ Президента Республики Саха (Якутия) от 12.10.2011 № 960 "О государственной программе Республики Саха (Якутия) “Развитие информационного общества в Республике Саха (Якутия) на 2012-2019 годы”"
Номер опубликования: 1400201607210003
Дата опубликования: 21.07.2016
Страница №44 из 64:
Увеличить