Официальное опубликование правовых актов
ОФИЦИАЛЬНОЕ ОПУБЛИКОВАНИЕ
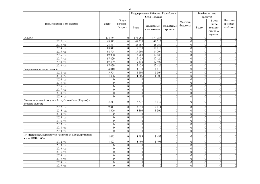
Указ Главы Республики Саха (Якутия) от 18.07.2016 № 1318 "О внесении изменений в Указ Президента Республики Саха (Якутия) от 12 октября 2011 г. № 963 "О государственной программе Республики Саха (Якутия) “Международное сотрудничество и внешнеэкономическая деятельность Республики Саха (Якутия) на 2012 - 2019 годы”"
Номер опубликования: 1400201607200003
Дата опубликования: 20.07.2016
Страница №21 из 62:
Увеличить