Официальное опубликование правовых актов
ОФИЦИАЛЬНОЕ ОПУБЛИКОВАНИЕ
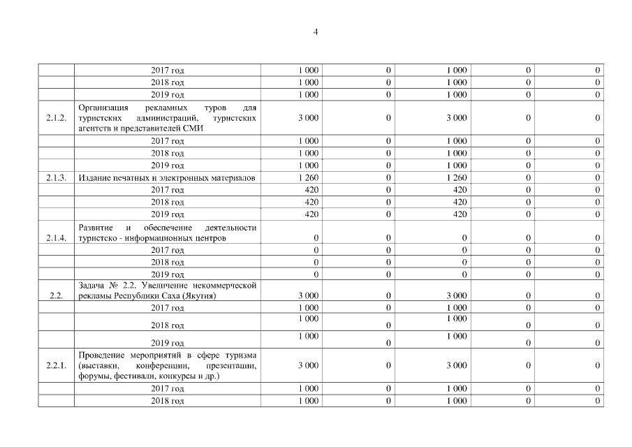
Указ Главы Республики Саха (Якутия) от 08.06.2016 № 1192 "О внесении изменений в Указ Президента Республики Саха (Якутия) от 12 октября 2011 г. № 978 "О государственной программе Республики Саха (Якутия) "Развитие внутреннего и въездного туризма на территории Республики Саха (Якутия) на 2012 - 2019 годы"
Номер опубликования: 1400201606150009
Дата опубликования: 15.06.2016
Страница №42 из 59:
Увеличить