Официальное опубликование правовых актов
ОФИЦИАЛЬНОЕ ОПУБЛИКОВАНИЕ
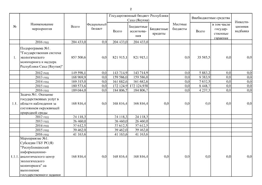
Указ Главы Республики Саха (Якутия) от 09.06.2016 № 1197 "О внесении изменений в Указ Президента Республики Саха (Якутия) от 12.10.2011 № 981 "О государственной программе Республики Саха (Якутия) “Охрана окружающей среды Республики Саха (Якутия) на 2012-2019 годы”"
Номер опубликования: 1400201606150007
Дата опубликования: 15.06.2016
Страница №15 из 111:
Увеличить