Официальное опубликование правовых актов
ОФИЦИАЛЬНОЕ ОПУБЛИКОВАНИЕ
Указ Главы Республики Саха (Якутия) от 22.01.2016 № 925
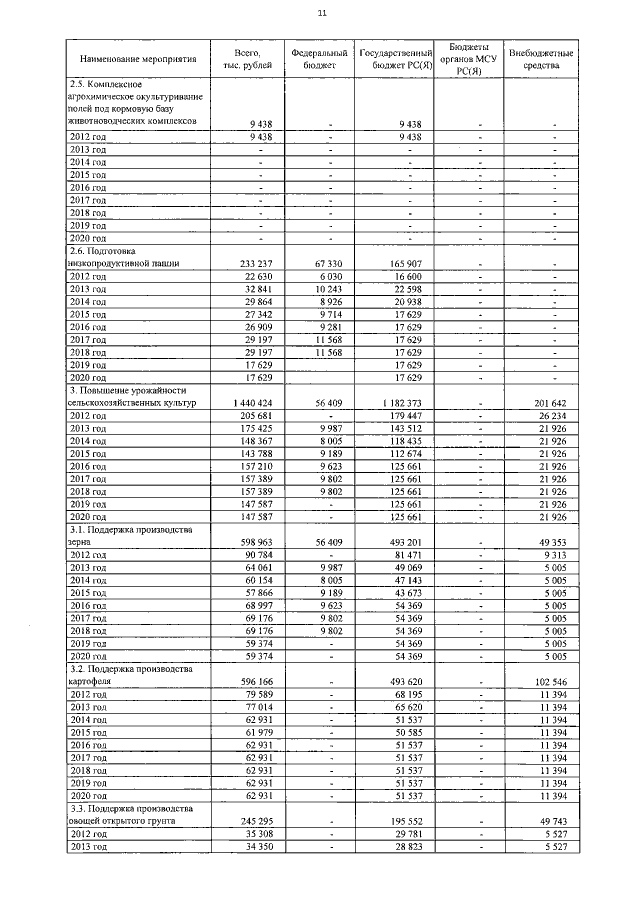
"О внесении изменений в государственную программу Республики Саха (Якутия) "Развитие сельского хозяйства и регулирование рынков сельскохозяйственной продукции, сырья и продовольствия на 2012 - 2020 годы", утвержденную Указом Президента Республики Саха (Якутия) от 07 октября 2011 г. № 934"
Номер опубликования: 1400201601260001
Дата опубликования: 26.01.2016
Страница №32 из 94:
Увеличить